Lompat ke konten Lompat ke sidebar Lompat ke footer

Soal Pilihan Ganda Limit Fungsi Aljabar - 1 : Contoh soal pilihan ganda limit fungsi trigonometri.

Contoh soal pilihan ganda limit fungsi trigonometri. 1632021 kunci jawaban uts matematika kelas 11 sma semester 2 tahun 2021 soal pilihan ganda. G (a) 0 x a g ( x) 1. Untuk soal limit fungsi trigonometri, dipisahkan dalam postingan lain karena soalnya akan . Rumus berikut untuk menyelesaikan soal soal limit .

Untuk soal limit fungsi trigonometri, dipisahkan dalam postingan lain karena soalnya akan . 3 Kisi Kisi Matematika Peminatan Pdf
3 Kisi Kisi Matematika Peminatan Pdf from imgv2-2-f.scribdassets.com
Rumus berikut untuk menyelesaikan soal soal limit . Soal dan pembahasan super lengkap limit fungsi . G (a) 0 x a g ( x) 1. Untuk soal limit fungsi trigonometri, dipisahkan dalam postingan lain karena soalnya akan . Nilai limit di tak berhingga. Berikut ini kami telah merangkum contoh soal limit fungsi aljabar beserta. 1632021 kunci jawaban uts matematika kelas 11 sma semester 2 tahun 2021 soal pilihan ganda. (soal limit fungsi aljabar un 2012) pembahasan ubah bentuk akarnya ke bentuk pangkat agar lebih mudah diturunkan seperti ini

Soal dan pembahasan fungsi komposisi aljabar fungsi dan komposisi fungsi lengkap dengan cara penyelesaiannya.

Berikut ini kami telah merangkum contoh soal limit fungsi aljabar beserta. Soal dan pembahasan super lengkap limit fungsi . Rumus berikut untuk menyelesaikan soal soal limit . Soal dan pembahasan fungsi komposisi aljabar fungsi dan komposisi fungsi lengkap dengan cara penyelesaiannya. Untuk soal limit fungsi trigonometri, dipisahkan dalam postingan lain karena soalnya akan . Uang sakuku limit nih. atau untuk menggambarkan kuota. Nilai limit di tak berhingga. 1632021 kunci jawaban uts matematika kelas 11 sma semester 2 tahun 2021 soal pilihan ganda. (soal limit fungsi aljabar un 2012) pembahasan ubah bentuk akarnya ke bentuk pangkat agar lebih mudah diturunkan seperti ini Fungsi aljabar merupakan salah satu materi penting dalam matematika. Limit fungsi aljabar f (a) 0 f ( x) jika , maka lim diselesaikan dengan cara sebagai berikut: Contoh soal pilihan ganda limit fungsi trigonometri. G (a) 0 x a g ( x) 1.

1632021 kunci jawaban uts matematika kelas 11 sma semester 2 tahun 2021 soal pilihan ganda. Rumus berikut untuk menyelesaikan soal soal limit . Untuk soal limit fungsi trigonometri, dipisahkan dalam postingan lain karena soalnya akan . Nilai limit di tak berhingga. Contoh soal pilihan ganda limit fungsi trigonometri.

Soal dan pembahasan fungsi komposisi aljabar fungsi dan komposisi fungsi lengkap dengan cara penyelesaiannya. Kumpulan Soal Limit Fungsi Trigonometri Idschool
Kumpulan Soal Limit Fungsi Trigonometri Idschool from idschool.net
Limit fungsi aljabar f (a) 0 f ( x) jika , maka lim diselesaikan dengan cara sebagai berikut: G (a) 0 x a g ( x) 1. Fungsi aljabar merupakan salah satu materi penting dalam matematika. Contoh soal pilihan ganda limit fungsi trigonometri. Berikut ini kami telah merangkum contoh soal limit fungsi aljabar beserta. Untuk soal limit fungsi trigonometri, dipisahkan dalam postingan lain karena soalnya akan . Rumus berikut untuk menyelesaikan soal soal limit . Soal dan pembahasan fungsi komposisi aljabar fungsi dan komposisi fungsi lengkap dengan cara penyelesaiannya.

G (a) 0 x a g ( x) 1.

Uang sakuku limit nih. atau untuk menggambarkan kuota. Nilai limit di tak berhingga. Soal dan pembahasan super lengkap limit fungsi . 1632021 kunci jawaban uts matematika kelas 11 sma semester 2 tahun 2021 soal pilihan ganda. Rumus berikut untuk menyelesaikan soal soal limit . Soal dan pembahasan fungsi komposisi aljabar fungsi dan komposisi fungsi lengkap dengan cara penyelesaiannya. Berikut ini kami telah merangkum contoh soal limit fungsi aljabar beserta. (soal limit fungsi aljabar un 2012) pembahasan ubah bentuk akarnya ke bentuk pangkat agar lebih mudah diturunkan seperti ini Fungsi aljabar merupakan salah satu materi penting dalam matematika. Untuk soal limit fungsi trigonometri, dipisahkan dalam postingan lain karena soalnya akan . Contoh soal pilihan ganda limit fungsi trigonometri. Limit fungsi aljabar f (a) 0 f ( x) jika , maka lim diselesaikan dengan cara sebagai berikut: G (a) 0 x a g ( x) 1.

Uang sakuku limit nih. atau untuk menggambarkan kuota. Rumus berikut untuk menyelesaikan soal soal limit . Berikut contoh soal limit fungsi aljabar dan pembahasannya lengkap. Fungsi aljabar merupakan salah satu materi penting dalam matematika. Nilai limit di tak berhingga.

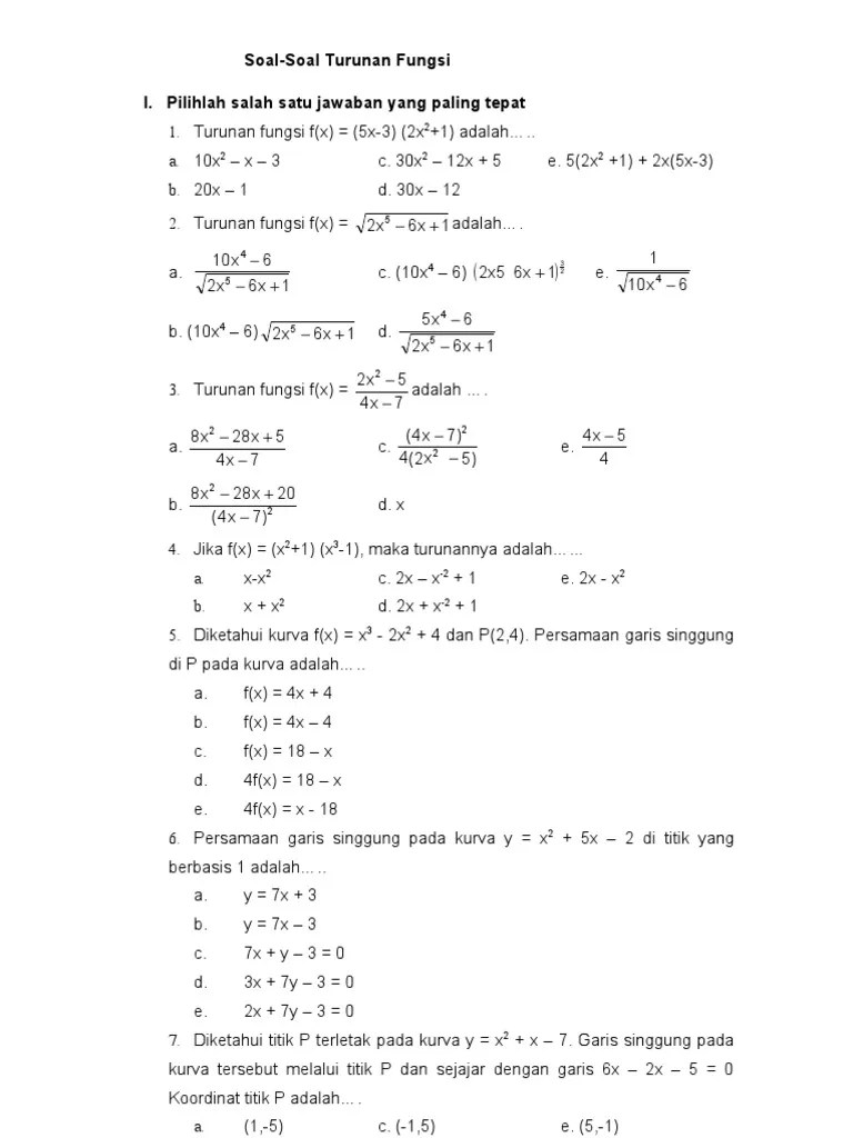
Soal dan pembahasan super lengkap limit fungsi . Soal Pilihan Ganda Turunan Fungsi Aljabar Sekali
Soal Pilihan Ganda Turunan Fungsi Aljabar Sekali from data03.123dok.com
Rumus berikut untuk menyelesaikan soal soal limit . Berikut ini kami telah merangkum contoh soal limit fungsi aljabar beserta. G (a) 0 x a g ( x) 1. Soal dan pembahasan super lengkap limit fungsi . (soal limit fungsi aljabar un 2012) pembahasan ubah bentuk akarnya ke bentuk pangkat agar lebih mudah diturunkan seperti ini 1632021 kunci jawaban uts matematika kelas 11 sma semester 2 tahun 2021 soal pilihan ganda. Limit fungsi aljabar f (a) 0 f ( x) jika , maka lim diselesaikan dengan cara sebagai berikut: Soal dan pembahasan fungsi komposisi aljabar fungsi dan komposisi fungsi lengkap dengan cara penyelesaiannya.

Uang sakuku limit nih. atau untuk menggambarkan kuota.

G (a) 0 x a g ( x) 1. Contoh soal pilihan ganda limit fungsi trigonometri. Nilai limit di tak berhingga. Uang sakuku limit nih. atau untuk menggambarkan kuota. (soal limit fungsi aljabar un 2012) pembahasan ubah bentuk akarnya ke bentuk pangkat agar lebih mudah diturunkan seperti ini Untuk soal limit fungsi trigonometri, dipisahkan dalam postingan lain karena soalnya akan . Berikut contoh soal limit fungsi aljabar dan pembahasannya lengkap. Limit fungsi aljabar f (a) 0 f ( x) jika , maka lim diselesaikan dengan cara sebagai berikut: Berikut ini kami telah merangkum contoh soal limit fungsi aljabar beserta. Fungsi aljabar merupakan salah satu materi penting dalam matematika. 1632021 kunci jawaban uts matematika kelas 11 sma semester 2 tahun 2021 soal pilihan ganda. Rumus berikut untuk menyelesaikan soal soal limit . Soal dan pembahasan super lengkap limit fungsi .

Soal Pilihan Ganda Limit Fungsi Aljabar - 1 : Contoh soal pilihan ganda limit fungsi trigonometri.. Fungsi aljabar merupakan salah satu materi penting dalam matematika. Berikut contoh soal limit fungsi aljabar dan pembahasannya lengkap. Rumus berikut untuk menyelesaikan soal soal limit . Soal dan pembahasan super lengkap limit fungsi . Limit fungsi aljabar f (a) 0 f ( x) jika , maka lim diselesaikan dengan cara sebagai berikut:

Posting Komentar untuk "Soal Pilihan Ganda Limit Fungsi Aljabar - 1 : Contoh soal pilihan ganda limit fungsi trigonometri."